



Acoustics is the branch of physics that deals with the study of sound, its production, transmission, and effects. It encompasses various aspects of sound, including its generation, propagation, and reception. Acoustics can be further divided into different subfields, and one of these is musical acoustics.
Musical acoustics is a specialized branch of acoustics that focuses on the scientific study of the physical properties of musical instruments, the production of sound by these instruments, and the perception of sound by the human ear in the context of music. This field delves into the intricate relationships between the physical characteristics of musical instruments, such as their size, shape, and materials, and the resulting sound they produce. Musical acoustics also explores the acoustical principles underlying various musical phenomena, including harmony, pitch, and timbre.
In recent years, the integration of technology into the field of music has given rise to a sub-discipline known as musical computing or computer music. Musical computing involves the use of computers and digital technology in the creation, analysis, and manipulation of musical sounds. This interdisciplinary field combines elements of computer science, music theory, and signal processing to explore new possibilities in music composition, performance, and production.
One of the main challenges in musical acoustics revolves around the design and optimization of musical instruments. Scientists and engineers in this field seek to understand and enhance the acoustical properties of instruments, aiming to achieve a balance between tradition and innovation. Additionally, the development of new materials and manufacturing techniques contributes to the evolution of musical instruments and their acoustics.
In the realm of musical computing, challenges often arise in the areas of algorithm design, real-time processing, and the integration of technology with traditional musical practices. Achieving a seamless and natural interaction between musicians and computer systems is a persistent challenge. Researchers and practitioners in musical computing continually work towards creating tools and systems that augment musical creativity while maintaining a connection to the human expressiveness inherent in musical performance.
Overall, the synergy between musical acoustics and musical computing plays a crucial role in shaping the future of music. As technology advances, researchers and musicians face the ongoing challenge of bridging the gap between traditional musical practices and the innovative possibilities offered by digital tools and computational methods. Balancing the preservation of traditional acoustical principles with the exploration of new sonic territories remains a central focus in both musical acoustics and musical computing.
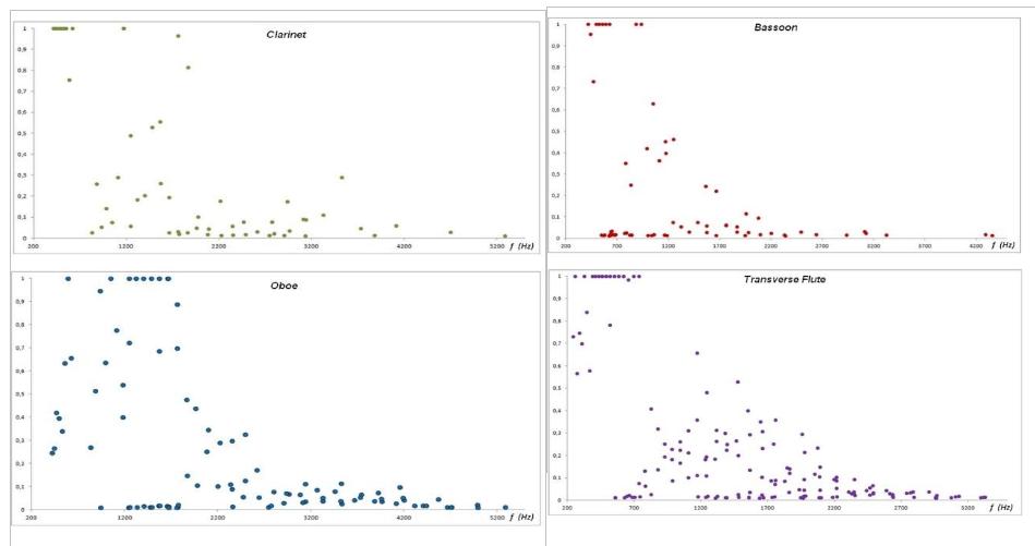
Characterization of musical timbre
My current research work focuses on the study and characterization of musical timbre through a set of FFT-Acoustics descriptors. These descriptors are proposed from the analysis of the acoustic properties of different musical instruments.
We have developed six dimensionless coefficients that together with the fundamental frequency form a 7-dimensional abstract space. In this space, it is possible to represent timbral variations of monophonic sounds such as variations by musical notes, octaves, dynamics, types of musical instruments, and families of instruments (see publications section).
Currently, we want to generalize the proposal by including melodic and polyphonic fragments, in addition to developing an interface to evaluate the real-time sound quality of different musical instruments.
The direct applications of this research are in the area of sound quality evaluation that can be applied in a teaching process or a process of buying and selling a musical instrument. In this way, we can advance in the study of musical instruments through virtual tutors, in addition to offering a quantitative and objective way to evaluate the timbral quality of a musical instrument.

For any additional information contact me by email: yubiry.ggonzalez@gmail.com

